Упр.491 ГДЗ Муравин 6 класс (Математика)
Решение #1

Рассмотрим вариант решения задания из учебника Муравин, Муравина 6 класс, Дрофа:
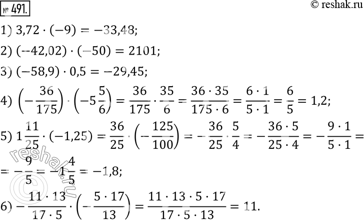
491. Вычислите:
1) 3,72•(-9);
2) (-42,02)•(-50);
3) (-58,9)•0,5;
4) (-36/175)•(-5 5/6);
5) 1 11/25•(-1,25);
6)-(11•13)/(17•5)•(-(5•17)/13).
*размещая тексты в комментариях ниже, вы автоматически соглашаетесь с пользовательским соглашением