Упр.5.9 ГДЗ Мордкович Семенов 11 класс (Алгебра)
Решение #1

Рассмотрим вариант решения задания из учебника Мордкович, Семенов, Александрова 11 класс, Просвещение:
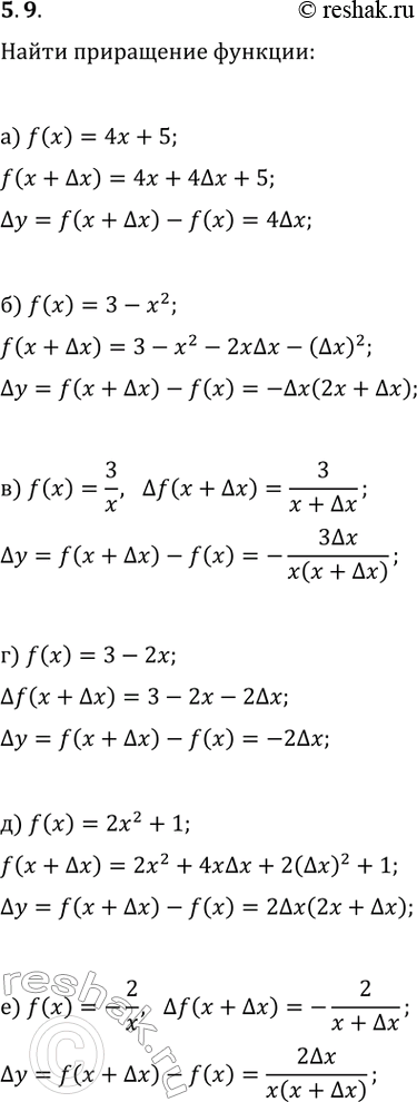
5.9. Выразите приращение ?y данной функции y=f(x) через приращение ?x аргумента при переходе от точки х к точке x+?x:
а) f(x)=4x+5; г) f(x)=3-2x;
б) f(x)=3-x^2; д) f(x)=2x^2+1;
в) f(x)=3/x; е) f(x)=-2/x.
*размещая тексты в комментариях ниже, вы автоматически соглашаетесь с пользовательским соглашением