Упр.573 ГДЗ Бунимович Кузнецова 6 класс (Математика)

Решение #1

Изображение 573 Вычислите:а) 26 - (18 + (-7));б) -84 - (-18 - 6);в) (3 - 23) - (4 - 10);г) (-8 + 15) - (-6 -...

Рассмотрим вариант решения задания из учебника Бунимович, Кузнецова, Минаева 6 класс, Просвещение:
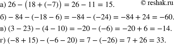
573 Вычислите:
а) 26 - (18 + (-7));
б) -84 - (-18 - 6);
в) (3 - 23) - (4 - 10);
г) (-8 + 15) - (-6 - 20).
*Цитирирование задания со ссылкой на учебник производится исключительно в учебных целях для лучшего понимания разбора решения задания.
*размещая тексты в комментариях ниже, вы автоматически соглашаетесь с пользовательским соглашением