Упр.6.19 ГДЗ Мерзляк 11 класс Углубленный уровень (Алгебра)
Решение #1

Рассмотрим вариант решения задания из учебника Мерзляк, Номировский, Поляков 11 класс, Вентана-Граф, Просвещение:
6.19. Решите уравнение:
1) 2 lg x/lg (8x-7)=1; 4) log_(x+1) (x+3)=2;
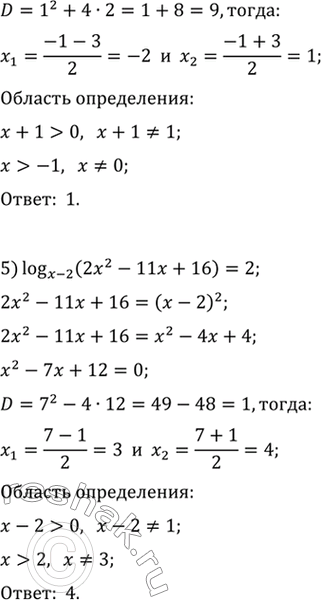
2) (log_4 (x^2+x-2)-1)/log_4 (x-1)=0; 5) log_(x-2) (2x^2-11x+16)=2.
3) log_x (2x^2-7x+12)=2;
*размещая тексты в комментариях ниже, вы автоматически соглашаетесь с пользовательским соглашением