Упр.6.24 ГДЗ Мерзляк 11 класс Углубленный уровень (Алгебра)
Решение #1

Рассмотрим вариант решения задания из учебника Мерзляк, Номировский, Поляков 11 класс, Вентана-Граф, Просвещение:
6.24. Решите уравнение:
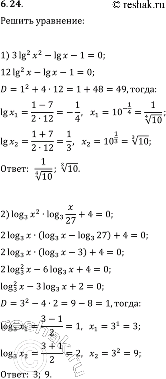
1) 3lg^2 x^2-lg x-1=0;
2) log_3 x^2·log_3 (x/27)+4=0;
3) log_7 (7x)·log_7 (x/7)=log_7 x^2-1;
4) lg^2 (10x)+lg (10x)=6+3lg x;
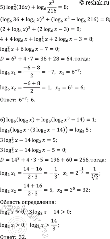
5) (log_6 (36x))^2+log_6 (x^2/216)=8;
6) log_5 (log_2 x)+log_5 (log_2 x^3-14)=1.
*размещая тексты в комментариях ниже, вы автоматически соглашаетесь с пользовательским соглашением