Упр.6.46 ГДЗ Мерзляк 11 класс Углубленный уровень (Алгебра)
Решение #1

Рассмотрим вариант решения задания из учебника Мерзляк, Номировский, Поляков 11 класс, Вентана-Граф, Просвещение:
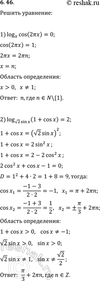
6.46. Решите уравнение:
1) log_x cos(2пx)=0; 2) log_(v2sin(x)) (1+cos(x))=2.
*размещая тексты в комментариях ниже, вы автоматически соглашаетесь с пользовательским соглашением