Упр.644 ГДЗ Бунимович Кузнецова 6 класс (Математика)

Решение #1

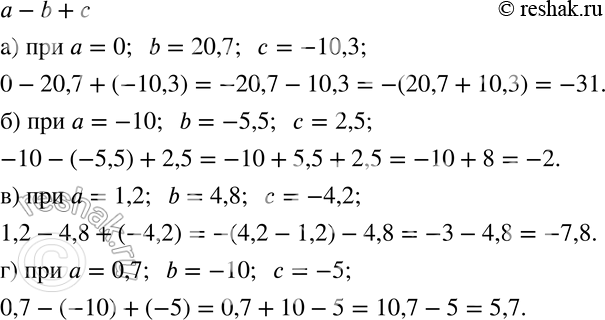
Изображение 644 Найдите значение выражения а - b + с:а) при а = 0, b = 20,7, с = -10,3;	б) при а = -10, b = -5,5, с = 2,5;	в) при а = 1,2, b = 4,8, с = -4,2;г) при а = 0,7,...

Рассмотрим вариант решения задания из учебника Бунимович, Кузнецова, Минаева 6 класс, Просвещение:
644 Найдите значение выражения а - b + с:
а) при а = 0, b = 20,7, с = -10,3;
б) при а = -10, b = -5,5, с = 2,5;
в) при а = 1,2, b = 4,8, с = -4,2;
г) при а = 0,7, b = -10, с = -5.
*Цитирирование задания со ссылкой на учебник производится исключительно в учебных целях для лучшего понимания разбора решения задания.
*размещая тексты в комментариях ниже, вы автоматически соглашаетесь с пользовательским соглашением