Упр.183 ГДЗ Рабочая тетрадь Босова 8 класс (Информатика)
Решение #1
Решение #2

Рассмотрим вариант решения задания из учебника Босова 8 класс, Бином:
183. Дана программа на языке Паскаль:
program a2;
var a, b, c, min: real;
begin
writeln ('Введите три числа');
readln (a, b, c);
min:=a;
if b
if c
writeln ('min', min)
end.
Что будет результатом работы программы при следующих исходных данных?
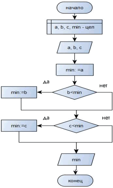
Постройте блок-схему, соотвествующую программе.
a b c min
10 5 1 1
10 5 7 5
2 10 5 2
*размещая тексты в комментариях ниже, вы автоматически соглашаетесь с пользовательским соглашением