Упр.1.16 ГДЗ Мордковича 11 класс профильный уровень (Алгебра)
Решение #1
Решение #2(записки учителя)
Решение #3(записки школьника)

Рассмотрим вариант решения задания из учебника Мордкович, Семенов 11 класс, Мнемозина:
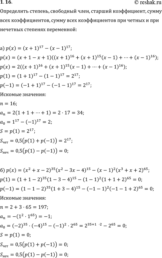
1.16. Для многочлена р(х) найдите степень, свободный член, старший коэффициент, сумму всех коэффициентов, сумму всех коэффициентов при четных степенях переменной, сумму всех коэффициентов при нечетных степенях переменной:
а) р(х) = (х + 1)17 - (х - 1)17;
б) р(х) = (х2+х-2)35(x2-Зх- 4)15 - (х - 1)2(x3 + х + 2)65.
*размещая тексты в комментариях ниже, вы автоматически соглашаетесь с пользовательским соглашением