Упр.1.5 ГДЗ Мордковича 11 класс профильный уровень (Алгебра)
Решение #1
Решение #2(записки учителя)
Решение #3(записки школьника)

Рассмотрим вариант решения задания из учебника Мордкович, Семенов 11 класс, Мнемозина:
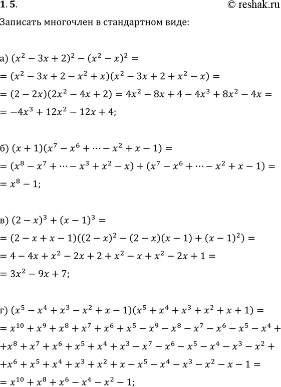
1.5. а) (х2 - Зх + 2)2 - (х2 - x)2;
б) (x + 1)(х7 - х6 + ... - х2 + х - 1);
в) (2 -x)3 +(х- 1)3;
г) (х5 - x4 + х3 - x2 + х - 1)(х5 + x4 + x3 + x2 + x + 1).
*размещая тексты в комментариях ниже, вы автоматически соглашаетесь с пользовательским соглашением