Упр.10.17 ГДЗ Мордковича 11 класс профильный уровень (Алгебра)
Решение #1
Решение #2(записки учителя)
Решение #3(записки школьника)

Рассмотрим вариант решения задания из учебника Мордкович, Семенов 11 класс, Мнемозина:
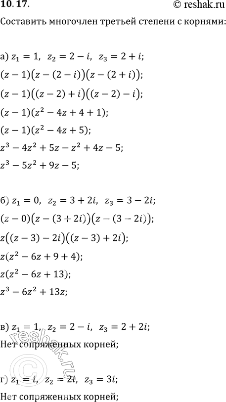
10.17. Составьте (если возможно) многочлен третьей степени с действительными коэффициентами, корнями которого являются числа:
а) z1 = 1, z2 = 2 — i, z3 = 2 + i;
б) z1 = 0, z2 = 3 + 2i, z3 = 3 - 2i;
в) z1 = 1, z2 = 2 - i, z3 = 2 + 2i;
г) z1 = 1, z2 = 2i, z3 = 3i.
*размещая тексты в комментариях ниже, вы автоматически соглашаетесь с пользовательским соглашением