Упр.12.17 ГДЗ Мордковича 11 класс профильный уровень (Алгебра)
Решение #1
Решение #2(записки учителя)
Решение #3(записки школьника)

Рассмотрим вариант решения задания из учебника Мордкович, Семенов 11 класс, Мнемозина:
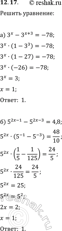
Решите уравнение:
12.17 а)3x-3(x+3)=-78;
б)5(2x-1) - 5(2x-3)=4,8;
в)2*(1/7)(3x+7)-7*(1/7)(3x+8)=49;
г)(1/3)(5x-1)+(1/3)5x=4/9.
*размещая тексты в комментариях ниже, вы автоматически соглашаетесь с пользовательским соглашением