Упр.13.30 ГДЗ Мордковича 11 класс профильный уровень (Алгебра)
Решение #1
Решение #2(записки учителя)
Решение #3(записки школьника)

Рассмотрим вариант решения задания из учебника Мордкович, Семенов 11 класс, Мнемозина:
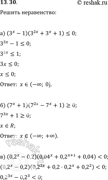
13.30 а)(3x-1)(3^2x+3x+1) меньше или равно 0;
б)(7x+1)(7^2x-7x + 1) больше или равно 0;
в)(0,2x-0,2)(0,04x+0,2(x+1)+0,04)<0;
г)((2/3)x-9/4)*((4/9)x+(2/3)(x-2)+81/16)>0.
*размещая тексты в комментариях ниже, вы автоматически соглашаетесь с пользовательским соглашением