Упр.13.43 ГДЗ Мордковича 11 класс профильный уровень (Алгебра)
Решение #1
Решение #2(записки учителя)
Решение #3(записки школьника)

Рассмотрим вариант решения задания из учебника Мордкович, Семенов 11 класс, Мнемозина:
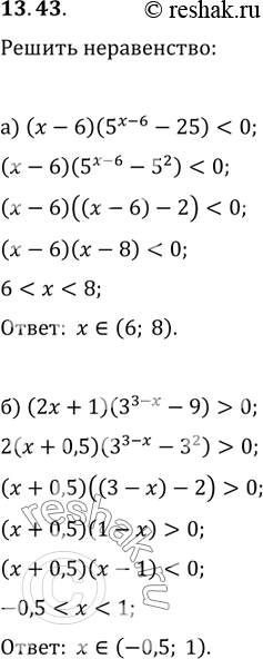
Решите неравенство:
13.43 а) (x-6)(5(x-6)-25)<0;б)(2x+1)(3(3-x)-9)>0.
*размещая тексты в комментариях ниже, вы автоматически соглашаетесь с пользовательским соглашением