Упр.14.19 ГДЗ Мордковича 11 класс профильный уровень (Алгебра)
Решение #1
Решение #2(записки учителя)
Решение #3(записки школьника)

Рассмотрим вариант решения задания из учебника Мордкович, Семенов 11 класс, Мнемозина:
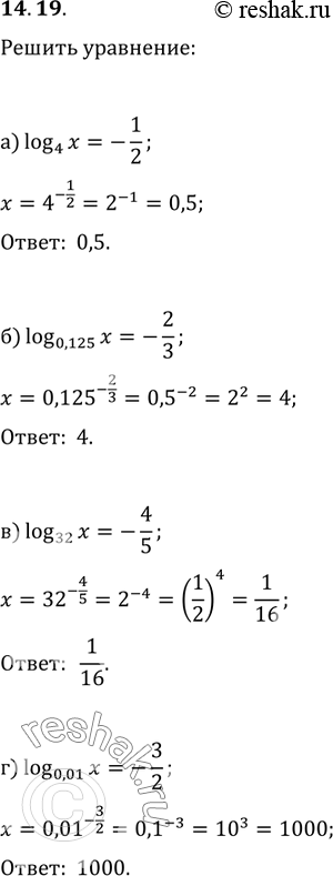
14.19 а)log4(x)=-1/2;
б)log0,125(x)=-2/3;
в)log32(x)=-4/5;
г)log0,01(x)=-3/2.
*размещая тексты в комментариях ниже, вы автоматически соглашаетесь с пользовательским соглашением