Упр.16.10 ГДЗ Мордковича 11 класс профильный уровень (Алгебра)
Решение #1
Решение #2(записки учителя)
Решение #3(записки школьника)

Рассмотрим вариант решения задания из учебника Мордкович, Семенов 11 класс, Мнемозина:
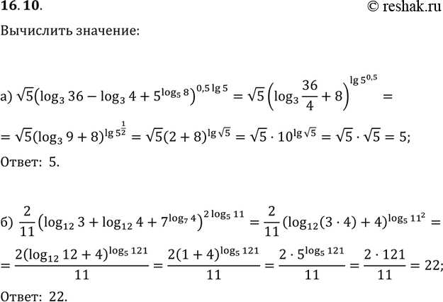
16.10 а)корень 5(log3(36)-log3(4)+5log58)0,5lg(5);
б)2/11(log12(3)+log12(4)+7log7(4))2log5(11).
*размещая тексты в комментариях ниже, вы автоматически соглашаетесь с пользовательским соглашением