Упр.2.11 ГДЗ Мордковича 11 класс профильный уровень (Алгебра)
Решение #1
Решение #2(записки учителя)
Решение #3(записки школьника)

Рассмотрим вариант решения задания из учебника Мордкович, Семенов 11 класс, Мнемозина:
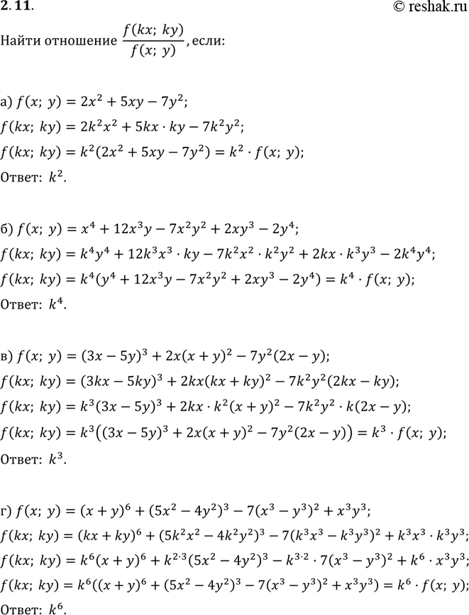
2.13. Найдите отношение f(kx;ky)/f(x;y), если:
а) f(x; у) = 2х2 + 5ху - 7у2;
б) f(x; у) = х4 + 12х3у - 7х2у2 + 2ху3 - 2у4;
в) f(x; у) = (3х - 5y)3 + 2х(х + у)2 - 7y2(2x - у);
г) f(х; у) = (х +y)6 + (5х2 - 4y2)3 - 7(х3 - у3)2 + x3y3.
*размещая тексты в комментариях ниже, вы автоматически соглашаетесь с пользовательским соглашением