Упр.6.1 ГДЗ Мордковича 11 класс профильный уровень (Алгебра)
Решение #1
Решение #2(записки учителя)
Решение #3(записки школьника)

Рассмотрим вариант решения задания из учебника Мордкович, Семенов 11 класс, Мнемозина:
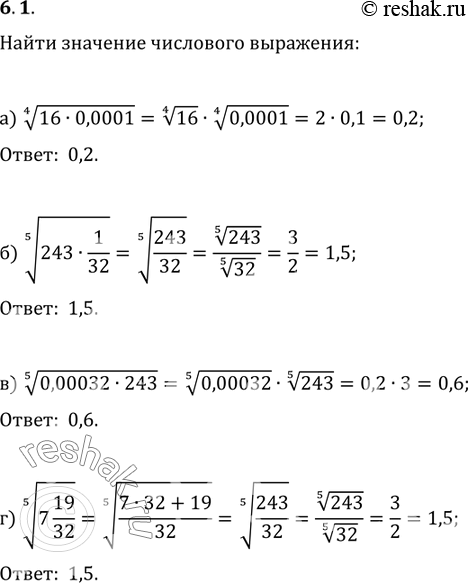
Найдите значение числового выражения:
6.1. а) корень 4 степени 16*0,0001; в) корень 5 степени 0,00032*243;
б)корень 5 степени 243 •1/32; г) корень 5 степени 7 19/32
*размещая тексты в комментариях ниже, вы автоматически соглашаетесь с пользовательским соглашением