Упр.7.44 ГДЗ Мордковича 11 класс профильный уровень (Алгебра)
Решение #1
Решение #2(записки учителя)
Решение #3(записки школьника)

Рассмотрим вариант решения задания из учебника Мордкович, Семенов 11 класс, Мнемозина:
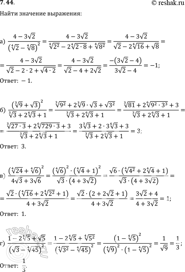
Найдите значение выражения:
7.44
а) (4-3 корень 2)/(корень 4 степени 2 - корень 4 степени 8)2
б) (корень 3 степени 9 + корень 3)2/ (корень 3 степени 3 + 2 корень 6 степени 3 + 1);
в) ( корень 4 степени 24 + корень 4 степени 6)2/ ( 4 корень 3 + 3 корень 6);
г) ( 1 - 2 корень 4 степени 5 + корень 5)/(корень 3- корень 4 степени 45)2.
*размещая тексты в комментариях ниже, вы автоматически соглашаетесь с пользовательским соглашением