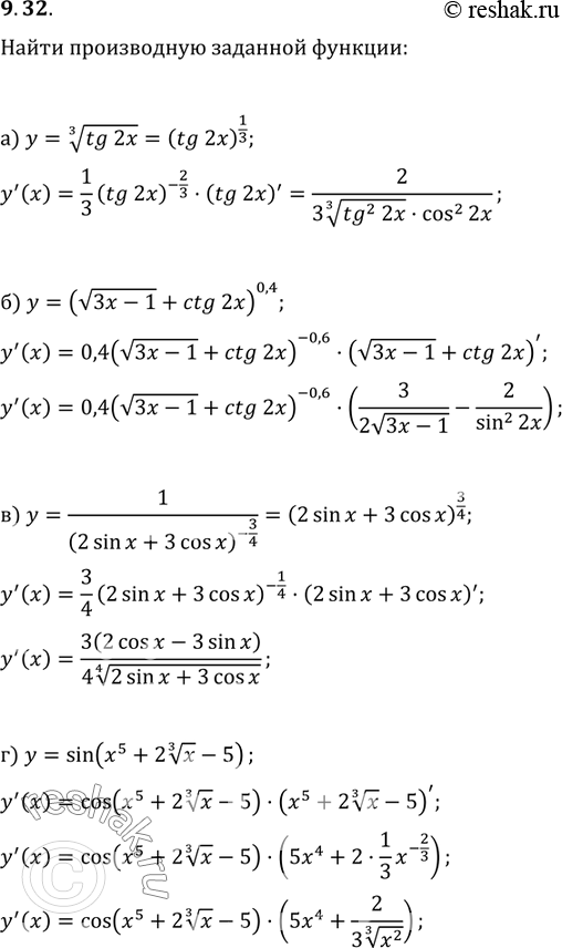
Упр.9.32 ГДЗ Мордковича 11 класс профильный уровень (Алгебра)
Решение #1
Решение #2(записки учителя)
Решение #3(записки школьника)

Рассмотрим вариант решения задания из учебника Мордкович, Семенов 11 класс, Мнемозина:
9.32
а) корень 3 степени tg2x;
б)(корень 3x-1 + ctg2x)0,4;
в)1/(2sin x + 3 cos x)-3/4;
г)y= sin(x5+2 корень 3 степени x - 5).
*размещая тексты в комментариях ниже, вы автоматически соглашаетесь с пользовательским соглашением