Упр.12.35 ГДЗ Мордковича 11 класс профильный уровень (Алгебра)
Решение #1
Решение #2(записки учителя)
Решение #3(записки школьника)

Рассмотрим вариант решения задания из учебника Мордкович, Семенов 11 класс, Мнемозина:
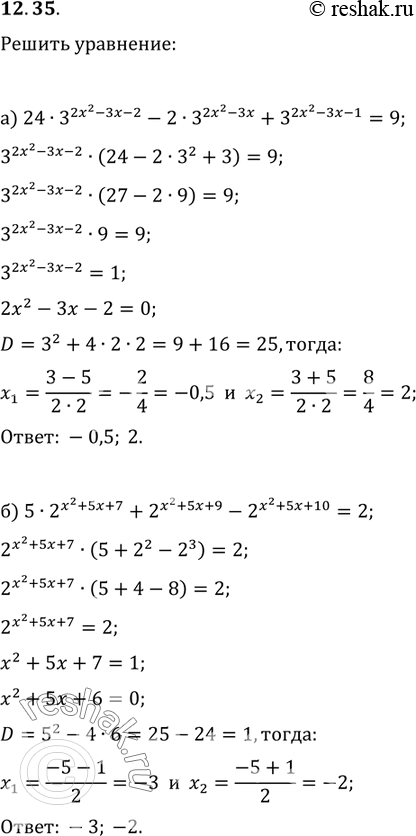
12.35 а)24*3(2x2-3x-2)-2*3(2x2-3x)+3(2x2-3x-1)=9;
б)5*2(x2+5x+7)+2(x2+5x+9)-2(x2+5x+10)=2.
*размещая тексты в комментариях ниже, вы автоматически соглашаетесь с пользовательским соглашением