Упр.12.41 ГДЗ Мордковича 11 класс профильный уровень (Алгебра)
Решение #1
Решение #2(записки учителя)
Решение #3(записки школьника)
Решение #4(записки школьника)

Рассмотрим вариант решения задания из учебника Мордкович, Семенов 11 класс, Мнемозина:
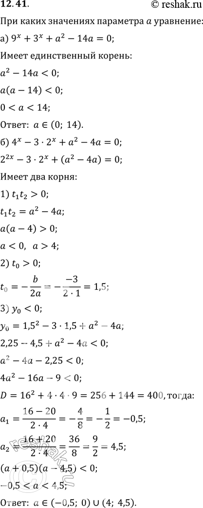
12.41. а) При каких значениях параметра а уравнение
9х + 3х + а2 - 14а = 0 имеет единственный корень?
б) При каких значениях параметра а уравнение 4х - 3 * 2х + а2 - 4а = 0 имеет два корня?
*размещая тексты в комментариях ниже, вы автоматически соглашаетесь с пользовательским соглашением