Упр.13.15 ГДЗ Мордковича 11 класс профильный уровень (Алгебра)
Решение #1
Решение #2(записки учителя)
Решение #3(записки школьника)

Рассмотрим вариант решения задания из учебника Мордкович, Семенов 11 класс, Мнемозина:
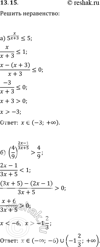
13.15 а)5((x/(x+3)) меньше или равно 5;
б)(4/9)((2x-1)/(3x+5))>4/9;
в)17(x/(x-8)) больше или равно 17;
г)(0,21)((3x+4)/(x-8))< 0,21.
*размещая тексты в комментариях ниже, вы автоматически соглашаетесь с пользовательским соглашением