Упр.13.9 ГДЗ Мордковича 11 класс профильный уровень (Алгебра)

Решение #1

Изображение 13.9 а)корень 2^-1 * корень 2(x2-7,5) больше или равно...
Дополнительное изображение

Решение #2(записки учителя)

Изображение 13.9 а)корень 2^-1 * корень 2(x2-7,5) больше или равно...

Решение #3(записки школьника)

Изображение 13.9 а)корень 2^-1 * корень 2(x2-7,5) больше или равно...
Дополнительное изображение
Загрузка...

Рассмотрим вариант решения задания из учебника Мордкович, Семенов 11 класс, Мнемозина:
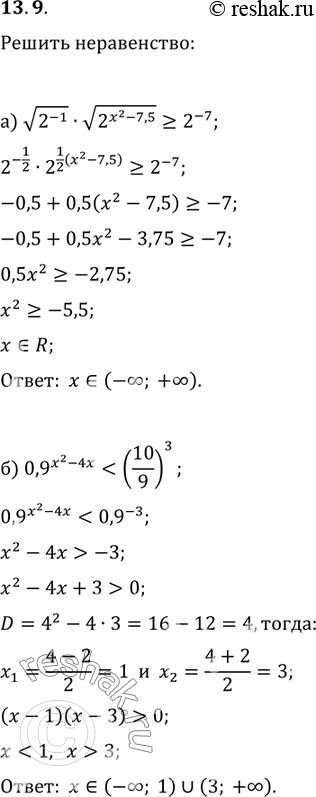
13.9 а)корень 2^-1 * корень 2(x2-7,5) больше или равно 2^-7;
б)0,9(x2-4x)<(10/9)3;
в)14(x2+x) меньше или равно 196;
г)(1/корень 3)(3x2-13x)>9.
*Цитирирование задания со ссылкой на учебник производится исключительно в учебных целях для лучшего понимания разбора решения задания.
*размещая тексты в комментариях ниже, вы автоматически соглашаетесь с пользовательским соглашением