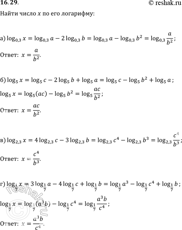
Упр.16.29 ГДЗ Мордковича 11 класс профильный уровень (Алгебра)
Решение #1
Решение #2(записки учителя)
Решение #3(записки школьника)

Рассмотрим вариант решения задания из учебника Мордкович, Семенов 11 класс, Мнемозина:
a) log0,3(x) = log0,3(a) - 2 log 0,3(b);
б) log5(x) = log5(с) - 2 log5(b) + log5(a);
в) log2,3(x) = 4 log2,3(с) - 3 log2,3(b);
r) log1/7(x) = 3 log1/7(a) - 4 log1/7(с) + log1/7(b).
*размещая тексты в комментариях ниже, вы автоматически соглашаетесь с пользовательским соглашением