Упр.16.31 ГДЗ Мордковича 11 класс профильный уровень (Алгебра)
Решение #1
Решение #2(записки школьника)

Рассмотрим вариант решения задания из учебника Мордкович, Семенов 11 класс, Мнемозина:
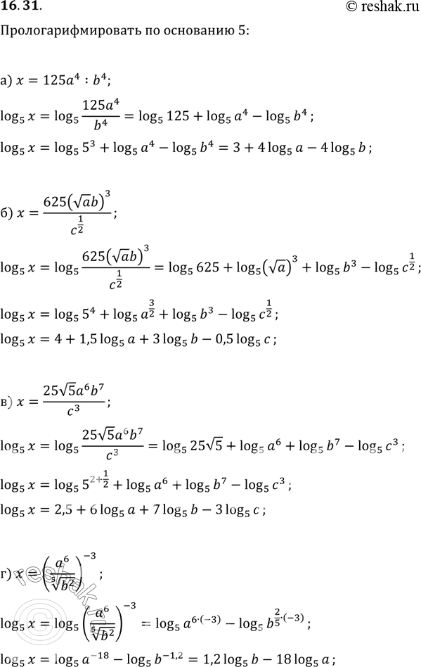
Прологарифмируйте по основанию 5:
а)125a4:b4;
б)(625(корень ab)3)/c1/2);
в)((25 (корень 5)a6b7)/c3;
г)(a6/корень 5 степени b2)^-3.
*размещая тексты в комментариях ниже, вы автоматически соглашаетесь с пользовательским соглашением