Упр.2.31 ГДЗ Мордковича 11 класс профильный уровень (Алгебра)
Решение #1
Решение #2(записки учителя)
Решение #3(записки школьника)

Рассмотрим вариант решения задания из учебника Мордкович, Семенов 11 класс, Мнемозина:
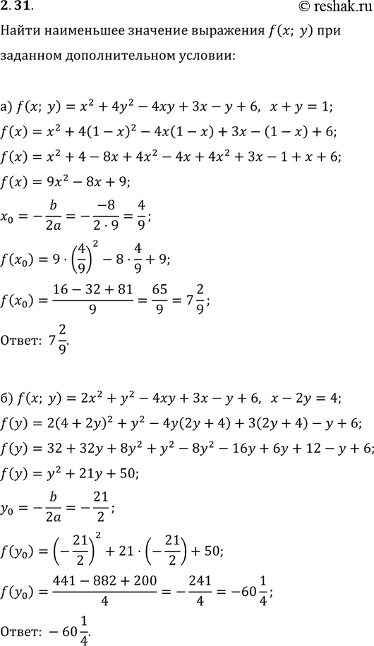
2.42. Найдите наименьшее значение выражения f(x; у) при заданном дополнительном условии:
а) f(x; у) = х2 + 4у2 - 4ху + 3х - у + 6, х + у = 1;
б) f(x; у) = 2х2 + у2 - 4ху + 3х - у + 6, х - 2у = 4.
*размещая тексты в комментариях ниже, вы автоматически соглашаетесь с пользовательским соглашением