Упр.3.3 ГДЗ Мордковича 11 класс профильный уровень (Алгебра)
Решение #1
Решение #2(записки учителя)
Решение #3(записки школьника)

Рассмотрим вариант решения задания из учебника Мордкович, Семенов 11 класс, Мнемозина:
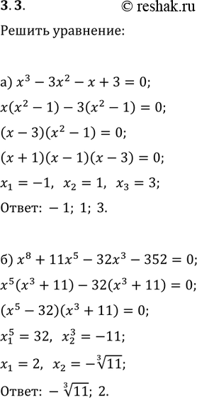
3.3 а) х3 - Зх2 - х + 3 = 0;
б) х8 + 11х5 - 32х3 - 352 = 0;
в) 5х3 - 15х2 - х + 3 = 0;
г) х3 - 2х2 + х = (х2 - 2х + 1)2.
*размещая тексты в комментариях ниже, вы автоматически соглашаетесь с пользовательским соглашением