Упр.20.4 ГДЗ Мордковича 11 класс профильный уровень (Алгебра)
Решение #1
Решение #2(записки учителя)
Решение #3(записки школьника)

Рассмотрим вариант решения задания из учебника Мордкович, Семенов 11 класс, Мнемозина:
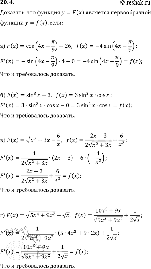
Докажите,что функция y=F(x) является первообразной для функции y=f(x):
20.4 а)F(x)=cos(4x-Пи/9) + 26, f(x) = -4sin(4x-Пи/9);
б)F(x)=sin3x - 3, f(x)=3sin2(x)cosx;
в)F(x) = корень (x2 + 3x) - 6x, f(x)=(2x+3)/(2 корень(x2+3x)) + 6/x2;
г)F(x)= корень (5x4 + 9x2) + корень x, f(x) = (10x3+9x)/(корень (5x4+9x2)) + 1/2 корень x.
*размещая тексты в комментариях ниже, вы автоматически соглашаетесь с пользовательским соглашением