Упр.20.7 ГДЗ Мордковича 11 класс профильный уровень (Алгебра)
Решение #1
Решение #2(записки учителя)
Решение #3(записки школьника)

Рассмотрим вариант решения задания из учебника Мордкович, Семенов 11 класс, Мнемозина:
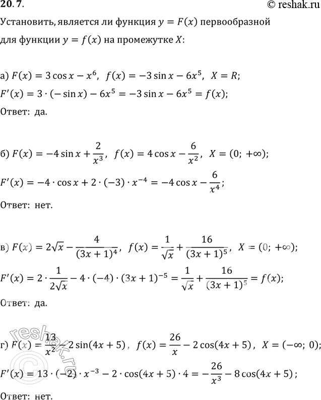
Установите,является ли функция y=F(x) первообразной для функции y=f(x) на промежутке X:
20.7 а)F(x)=3cosx-x6,f(x)=-3sinx-6x5,X=R;
б)F(x)=-4sinx + 2/x3, f(x)=4cos - 6/x2, X=(0;+бесконечность);
в)F(x)=2 корень x - 4/(3x+1)4,
f(x)=1/корень x + 16/(3x+1)5, X=(0;+бесконечность);
г)F(x)=13/x2 - 2sin(4x+5),
f(x)=26/x - 2cos(4x+5), X=(-бесконечность;0).
*размещая тексты в комментариях ниже, вы автоматически соглашаетесь с пользовательским соглашением