Упр.4.9 ГДЗ Мордковича 11 класс профильный уровень (Алгебра)
Решение #1
Решение #2(записки учителя)
Решение #3(записки школьника)

Рассмотрим вариант решения задания из учебника Мордкович, Семенов 11 класс, Мнемозина:
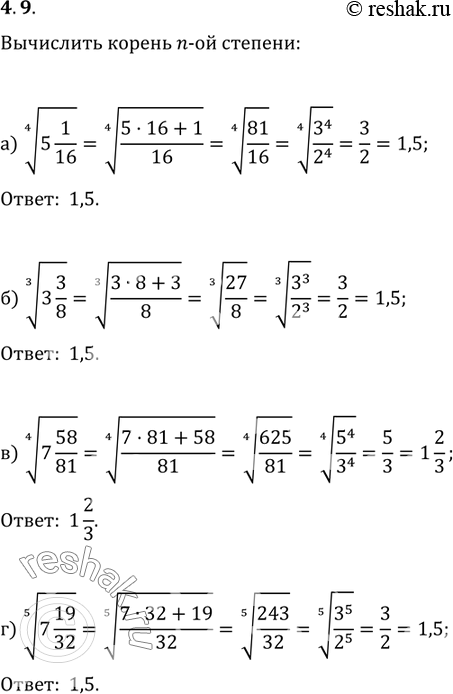
04.9. а) корень 4 степени из 5 1/16 б) корень 3 степени из 3 3/8 в) корень 4 степени из 7 58/81 г) корень 5 степени из 7 19/32
*размещая тексты в комментариях ниже, вы автоматически соглашаетесь с пользовательским соглашением