Упр.19.2 ГДЗ Мордковича 11 класс профильный уровень (Алгебра)
Решение #1
Решение #2(записки учителя)
Решение #3(записки школьника)

Рассмотрим вариант решения задания из учебника Мордкович, Семенов 11 класс, Мнемозина:
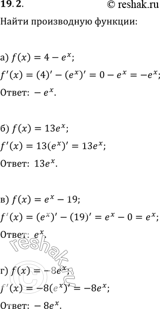
Найдите производную функции:
19.2. a) f(x) = 4 - еx; в) f(x) = ех - 19;
б) f(x) = 13ех; г) f(x) = -8ех.
*размещая тексты в комментариях ниже, вы автоматически соглашаетесь с пользовательским соглашением