Упр.19.5 ГДЗ Мордковича 11 класс профильный уровень (Алгебра)
Решение #1
Решение #2(записки учителя)
Решение #3(записки школьника)

Рассмотрим вариант решения задания из учебника Мордкович, Семенов 11 класс, Мнемозина:
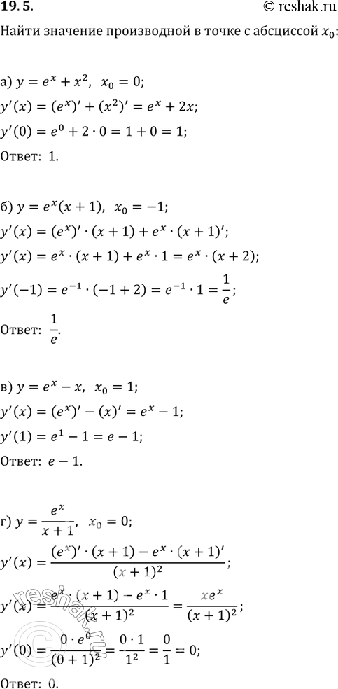
Найдите значение производной заданной функции в указанной точке х0:
19.5. а) у = ех + х2, х0 = 0; в) у = ех - х, х0 = 1;
б) у = ex(x + 1), х0 = -1; г) у =ex/(x+1), х0 = 0.
*размещая тексты в комментариях ниже, вы автоматически соглашаетесь с пользовательским соглашением