Упр.19.3 ГДЗ Мордковича 11 класс профильный уровень (Алгебра)
Решение #1
Решение #2(записки учителя)
Решение #3(записки школьника)

Рассмотрим вариант решения задания из учебника Мордкович, Семенов 11 класс, Мнемозина:
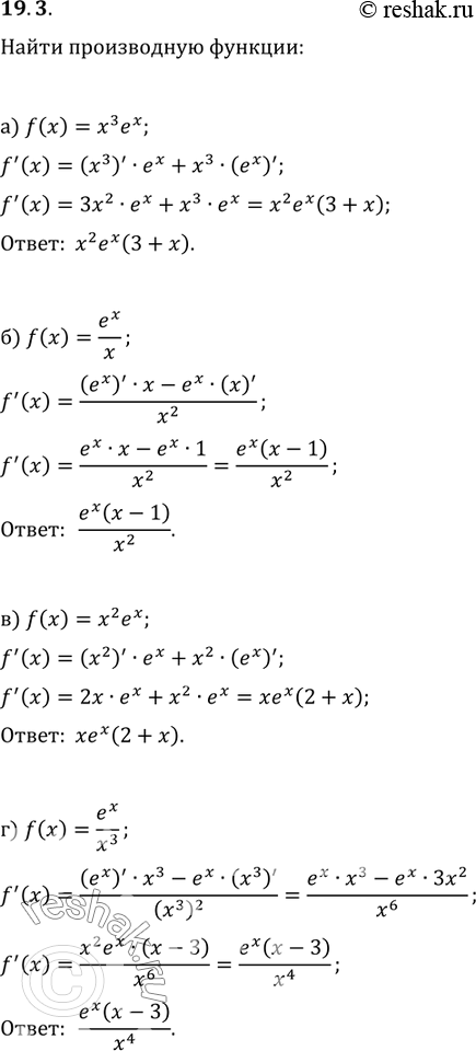
19.3. a) f(x) = х3ех; в) f(x) = х2ех,
б) f(x) =ex/x; г) f(x) =ex/x3.
*размещая тексты в комментариях ниже, вы автоматически соглашаетесь с пользовательским соглашением