Упр.19.23 ГДЗ Мордковича 11 класс профильный уровень (Алгебра)
Решение #1
Решение #2(записки учителя)
Решение #3(записки школьника)

Рассмотрим вариант решения задания из учебника Мордкович, Семенов 11 класс, Мнемозина:
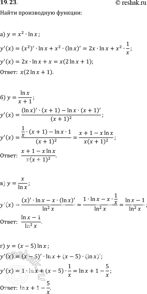
19.23. Найдите производную функции:
а) у = x2lnx
б) у =lnx/(х + 1);
в) у = x/lnx;
г) У = (x - 5)lnх.
*размещая тексты в комментариях ниже, вы автоматически соглашаетесь с пользовательским соглашением