Упр.19.26 ГДЗ Мордковича 11 класс профильный уровень (Алгебра)
Решение #1
Решение #2(записки учителя)
Решение #3(записки школьника)

Рассмотрим вариант решения задания из учебника Мордкович, Семенов 11 класс, Мнемозина:
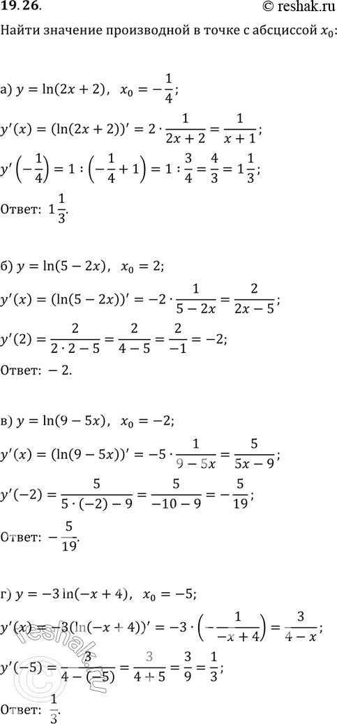
19.26. а) у = ln (2x + 2), х0 = -1/4;
б) у = ln (5 - 2x), x0 = 2;
в) y = ln (9 — 5x), х0 = -2;
г) у = -3 ln (-х + 4), х0 = -5.
*размещая тексты в комментариях ниже, вы автоматически соглашаетесь с пользовательским соглашением