Упр.19.25 ГДЗ Мордковича 11 класс профильный уровень (Алгебра)
Решение #1
Решение #2(записки учителя)
Решение #3(записки школьника)

Рассмотрим вариант решения задания из учебника Мордкович, Семенов 11 класс, Мнемозина:
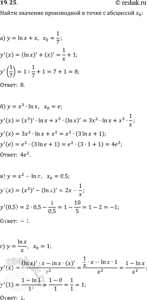
Найдите значение производной заданной функции в указанной точке:
19.25. а) у = lnx + х, х0 =1/7; в) у = х2 - lnх, х0 = 0,5;
б) у = х3lnx, x0 = е; г) у = lnx/x, х0 = 1.
*размещая тексты в комментариях ниже, вы автоматически соглашаетесь с пользовательским соглашением